时间:2017-11-28 04:00
人气:
作者:admin
随机梯度下降(Stochastic gradient descent)
批量梯度下降(Batch gradient descent)
梯度下降(GD)是最小化风险函数、损失函数的一种常用方法,随机梯度下降和批量梯度下降是两种迭代求解思路,下面从公式和实现的角度对两者进行分析,如有哪个方面写的不对,希望网友纠正。
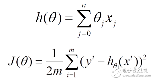
下面的h(x)是要拟合的函数,J(theta)损失函数,theta是参数,要迭代求解的值,theta求解出来了那最终要拟合的函数h(theta)就出来了。其中m是训练集的记录条数,j是参数的个数。

1、批量梯度下降的求解思路如下:
(1)将J(theta)对theta求偏导,得到每个theta对应的的梯度
(2)由于是要最小化风险函数,所以按每个参数theta的梯度负方向,来更新每个theta
(3)从上面公式可以注意到,它得到的是一个全局最优解,但是每迭代一步,都要用到训练集所有的数据,如果m很大,那么可想而知这种方法的迭代速度!!所以,这就引入了另外一种方法,随机梯度下降。
2、随机梯度下降的求解思路如下:
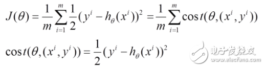
(1)上面的风险函数可以写成如下这种形式,损失函数对应的是训练集中每个样本的粒度,而上面批量梯度下降对应的是所有的训练样本:

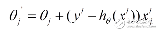
(2)每个样本的损失函数,对theta求偏导得到对应梯度,来更新theta

(3)随机梯度下降是通过每个样本来迭代更新一次,如果样本量很大的情况(例如几十万),那么可能只用其中几万条或者几千条的样本,就已经将theta迭代到最优解了,对比上面的批量梯度下降,迭代一次需要用到十几万训练样本,一次迭代不可能最优,如果迭代10次的话就需要遍历训练样本10次。但是,SGD伴随的一个问题是噪音较BGD要多,使得SGD并不是每次迭代都向着整体最优化方向。
3、对于上面的linear regression问题,与批量梯度下降对比,随机梯度下降求解的会是最优解吗?
(1)批量梯度下降---最小化所有训练样本的损失函数,使得最终求解的是全局的最优解,即求解的参数是使得风险函数最小。
(2)随机梯度下降---最小化每条样本的损失函数,虽然不是每次迭代得到的损失函数都向着全局最优方向, 但是大的整体的方向是向全局最优解的,最终的结果往往是在全局最优解附近。
4、梯度下降用来求最优解,哪些问题可以求得全局最优?哪些问题可能局部最优解?
对于上面的linear regression问题,最优化问题对theta的分布是unimodal,即从图形上面看只有一个peak,所以梯度下降最终求得的是全局最优解。然而对于multimodal的问题,因为存在多个peak值,很有可能梯度下降的最终结果是局部最优。
5、随机梯度和批量梯度的实现差别
以前一篇博文中NMF实现为例,列出两者的实现差别(注:其实对应Python的代码要直观的多,以后要练习多写python!
[java] view plain
// 随机梯度下降,更新参数
下一篇:人工智能发展现状及利弊分析