全球最实用的IT互联网信息网站!
AI人工智能P2P分享&下载搜索网页发布信息网站地图
解析人工智能如何带来更好的客户成功
阅读全文2017-11-29
多种职业20年后被自动化替代的风险解析
人工智能产业化领域百花齐放
转战AI+IoT软硬生态,百度携手小米意欲何为?
智慧家庭:海尔U+人工智能解决方案
让公司过渡到AI时代的五个小建议
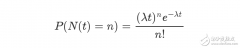
机器学习:泊松分布与指数分布
叫你如何学习分布式事务之2PC和3PC
阅读全文2017-11-28
厂商在推动人工智能手机行业发展时不应盲目跟
AI+互联网:人工智能威胁论与人类产生无力感的
Windows 系统下 Unity MCP 配置全攻略:从零开
华为云Flexus+DeepSeek征文|探索企业级AI捷
“恒峰国际”完成1亿美金融资,推出区块
谷歌正式发布Gemini 2.0 性能提升近两倍
CPU | 内存 | 硬盘 | 显卡 | 显示器 | 主板 | 电源 | 键鼠 | 网站地图
Copyright © 2025-2035 诺佳网 版权所有 备案号:赣ICP备2025066733号 本站资料均来源互联网收集整理,作品版权归作者所有,如果侵犯了您的版权,请跟我们联系。